Упр.75 ГДЗ Алимов 10-11 класс (Алгебра)
Решение #1
Решение #2

Рассмотрим вариант решения задания из учебника Алимов, Колягин, Ткачёва 10 класс, Просвещение:
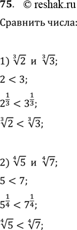
75. Сравнить числа:
1) корень 3 степени 2 и корень 3 степени 3;
2) корень 4 степени 5 и корень 4 степени 7.
*размещая тексты в комментариях ниже, вы автоматически соглашаетесь с пользовательским соглашением