Упр.72 ГДЗ Алимов 10-11 класс (Алгебра)
Решение #1
Решение #2

Рассмотрим вариант решения задания из учебника Алимов, Колягин, Ткачёва 10 класс, Просвещение:
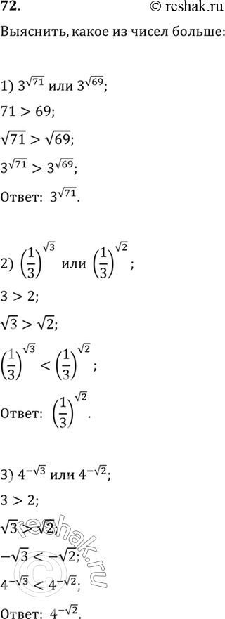
72. Выяснить, какое из чисел больше:
1) 3^корень 71 или 3^корень 69;
2) (1/3)корень 3 или (1/3)корень 2;
3) 4^ -корень 3 или 4^-корень 2;
4) 2^корень 3 или 2^1,7;
5) (1/2)1,4 или (1/2)корень 2;
6) (1/9)пи или (1/9)3,14.
*размещая тексты в комментариях ниже, вы автоматически соглашаетесь с пользовательским соглашением