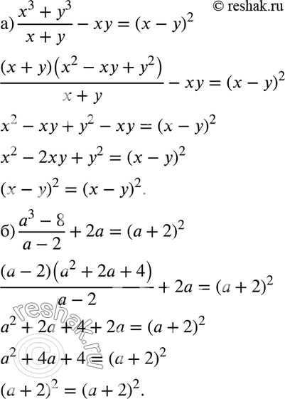
Упр.42.19 ГДЗ Мордкович 7 класс (Алгебра) Решение #1 Рассмотрим вариант решения задания из учебника Мордкович, Александрова 7 класс, Мнемозина: *Цитирирование задания со ссылкой на учебник производится исключительно в учебных целях для лучшего понимания разбора решения задания. 7 mordkovich7 42-19 « Предыдущее Следующее » *размещая тексты в комментариях ниже, вы автоматически соглашаетесь с пользовательским соглашением Похожие решебники Мордкович Мордкович, Семенов, Александрова Популярные решебники 7 класс Все решебники Рабочая тетрадь Юдовская, Баранов, Ванюшкина Рыбченкова Рыбченкова, Александрова, Загоровская Еремин Еремин, Дроздов, Лунин 2023 Алексеев Алексеев, Николина, Липкина Пасечник Пасечник, Суматохин, Калинова Михеева Афанасьева, Михеева