Упр.42.15 ГДЗ Мордкович 7 класс (Алгебра)
Решение #1

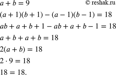
Рассмотрим вариант решения задания из учебника Мордкович, Александрова 7 класс, Мнемозина:
Докажите, что если а + b = 9,
то (а + 1)(b + 1) - (а - 1)(b - 1) = 18.
*размещая тексты в комментариях ниже, вы автоматически соглашаетесь с пользовательским соглашением