Упр.32.4 ГДЗ Мордкович 7 класс (Алгебра)
Решение #1

Рассмотрим вариант решения задания из учебника Мордкович, Александрова 7 класс, Мнемозина:
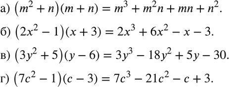
а) (m2 + n)(m + n);
б) (2х2 - 1)(х + 3);
в) (3у2 + 5)(у - 6);
г) (7с2 - 1)(с - 3).
*размещая тексты в комментариях ниже, вы автоматически соглашаетесь с пользовательским соглашением