Упр.32.3 ГДЗ Мордкович 7 класс (Алгебра)
Решение #1

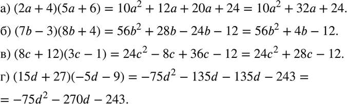
Рассмотрим вариант решения задания из учебника Мордкович, Александрова 7 класс, Мнемозина:
а) (2а + 4)(5а + 6);
б) (7b- 3)(8b + 4);
в) (8с + 12)(3с - 1);
г) (15d + 27)(-5d - 9).
*размещая тексты в комментариях ниже, вы автоматически соглашаетесь с пользовательским соглашением