Упр.19.3 ГДЗ Мордкович 7 класс (Алгебра)
Решение #1

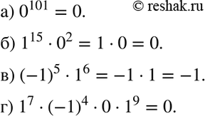
Рассмотрим вариант решения задания из учебника Мордкович, Александрова 7 класс, Мнемозина:
а) 0^101;
б) 1^15 *0^2;
в) (-1)5 *1^6;
г) 1^7 * (-1)4 *0^3 *1^9.
*размещая тексты в комментариях ниже, вы автоматически соглашаетесь с пользовательским соглашением