Упр.18.35 ГДЗ Мордкович 7 класс (Алгебра)
Решение #1

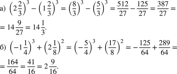
Рассмотрим вариант решения задания из учебника Мордкович, Александрова 7 класс, Мнемозина:
а) (2*2/3)3 - (1*2/3)3;
б) (-1*1/4)3 + (2*1/8)2.
*размещая тексты в комментариях ниже, вы автоматически соглашаетесь с пользовательским соглашением