Упр.9.34 ГДЗ Мордковича 11 класс профильный уровень (Алгебра)
Решение #1
Решение #2(записки учителя)
Решение #3(записки школьника)

Рассмотрим вариант решения задания из учебника Мордкович, Семенов 11 класс, Мнемозина:
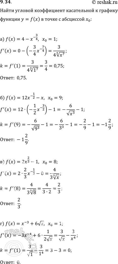
9.34. Найдите угловой коэффициент касательной к графику функции у = f(x) в точке с абсциссой х0:
а) f(х) = 4 - х-3/4, x0 = 1;
б) f(x) = 12х-1/2 - х, X0 = 9;
в) f(x) = 2х2/3 - 1, х0 = 8;
г) f(x) = x-3 + 6 корень х, x0 = 1.
*размещая тексты в комментариях ниже, вы автоматически соглашаетесь с пользовательским соглашением