Упр.765 ГДЗ Макарычев Миндюк 9 класс (Алгебра)
Решение #1
Решение #2

Рассмотрим вариант решения задания из учебника Макарычев, Миндюк, Нешков 9 класс, Просвещение:
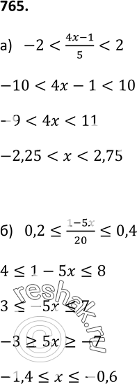
765. Решите двойное неравенство:
а) -2 < (4x-1)/5 < 2; б) 0,2 <= (1-5x)/20 <= 0,4.
*размещая тексты в комментариях ниже, вы автоматически соглашаетесь с пользовательским соглашением