Упр.681 ГДЗ Макарычев Миндюк 9 класс (Алгебра)

Решение #1

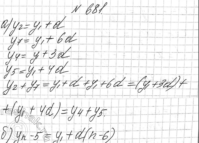
Изображение 681. Докажите, что если (уn) — арифметическая прогрессия, то:а) У2 + У7 = У*4+ У5;б) Уn- 5 + Уn + 10 = Уn + Уn+ 5,где n >...

Решение #2

Изображение 681. Докажите, что если (уn) — арифметическая прогрессия, то:а) У2 + У7 = У*4+ У5;б) Уn- 5 + Уn + 10 = Уn + Уn+ 5,где n >...
Дополнительное изображение
Загрузка...

Рассмотрим вариант решения задания из учебника Макарычев, Миндюк, Нешков 9 класс, Просвещение:
681. Докажите, что если (уn) — арифметическая прогрессия, то:
а) У2 + У7 = У*4+ У5;
б) Уn- 5 + Уn + 10 = Уn + Уn+ 5,где n > 5.
*Цитирирование задания со ссылкой на учебник производится исключительно в учебных целях для лучшего понимания разбора решения задания.
*размещая тексты в комментариях ниже, вы автоматически соглашаетесь с пользовательским соглашением