Упр.490 ГДЗ Макарычев Миндюк 9 класс (Алгебра)
Решение #1
Решение #2

Рассмотрим вариант решения задания из учебника Макарычев, Миндюк, Нешков 9 класс, Просвещение:
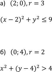
490. Задайте неравенством с двумя переменными:
а) круг с центром в точке (2; 0) и радиусом, равным 3;
б) множество точек, расположенных вне круга с центром точке (0; 4) и радиусом, равным 2.
*размещая тексты в комментариях ниже, вы автоматически соглашаетесь с пользовательским соглашением