Упр.10 ГДЗ Макарычев Миндюк 9 класс (Алгебра)
Решение #1
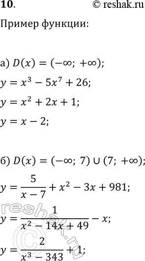
Решение #2
Решение #3

Рассмотрим вариант решения задания из учебника Макарычев, Миндюк, Нешков 9 класс, Просвещение:
10 Приведите пример функции, область определения которой: а) множество всех чисел; б) множество всех чисел, кроме 7.
*размещая тексты в комментариях ниже, вы автоматически соглашаетесь с пользовательским соглашением