Упр.580 ГДЗ Макарычев Миндюк 8 класс (Алгебра)
Решение #1
Решение #2

Рассмотрим вариант решения задания из учебника Макарычев, Миндюк, Нешков 8 класс, Просвещение:
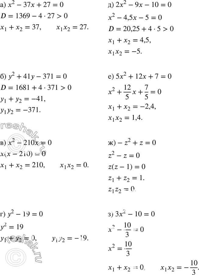
580. Найдите сумму и произведение корней уравнения:
а) х2 - 37х + 27 = 0;
б) у2 + 41y - 371 = 0;
в) х2 - 210х = 0;
г) у2 - 19= 0;
д) 2х2-9х-10=0;
е) 5х2 + 12х + 7 = 0;
ж) -z2 + z = 0;
з) 3х2 - 10= 0.
*размещая тексты в комментариях ниже, вы автоматически соглашаетесь с пользовательским соглашением