Упр.518 ГДЗ Макарычев Миндюк 8 класс (Алгебра)
Решение #1
Решение #2

Рассмотрим вариант решения задания из учебника Макарычев, Миндюк, Нешков 8 класс, Просвещение:
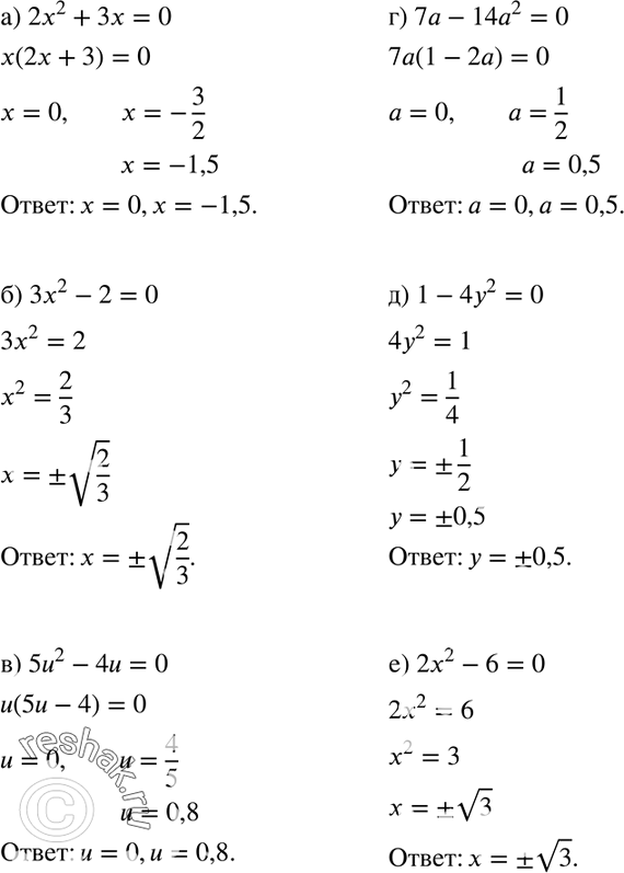
518. Решите уравнение:
а) 2x2 + 3х = 0;
б) 3х2 -2=0;
в) 5u2 - 4u = 0;
т) 7а- 14а2 = 0;
д) 1 - 4у2 = 0;
е) 2х2 -6=0.
*размещая тексты в комментариях ниже, вы автоматически соглашаетесь с пользовательским соглашением