Упр.46 ГДЗ Алимов 10-11 класс (Алгебра)
Решение #1
Решение #2

Рассмотрим вариант решения задания из учебника Алимов, Колягин, Ткачёва 10 класс, Просвещение:
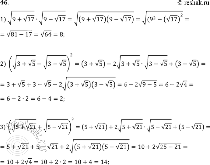
46. Вычислить (46-47).
1) корень (9+корень 17) * корень (9-корень 17);
2) (корень (3+корень 5) - корень (3-корень 5)2;
3) (корень (5+корень 21) + корень (5-корень 21)2.
*размещая тексты в комментариях ниже, вы автоматически соглашаетесь с пользовательским соглашением