Упр.1332 ГДЗ Алимов 10-11 класс (Алгебра)
Решение #1
Решение #2

Рассмотрим вариант решения задания из учебника Алимов, Колягин, Ткачёва 11 класс, Просвещение:
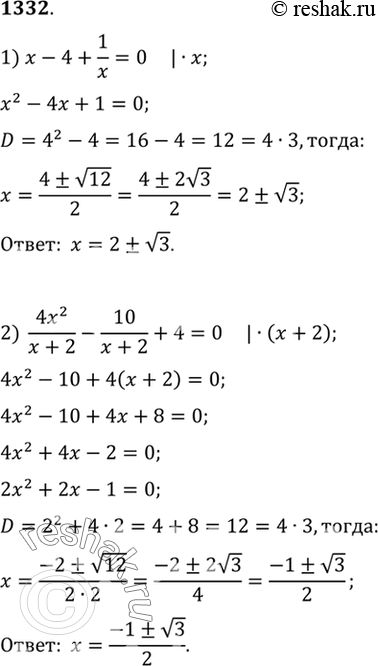
1332 1) x-4+1/x=0;
2) 4x2/(x+2)- 10/(x+2) +4=0.
*размещая тексты в комментариях ниже, вы автоматически соглашаетесь с пользовательским соглашением