Упр.1094 ГДЗ Алимов 10-11 класс (Алгебра)
Решение #1
Решение #2

Рассмотрим вариант решения задания из учебника Алимов, Колягин, Ткачёва 11 класс, Просвещение:
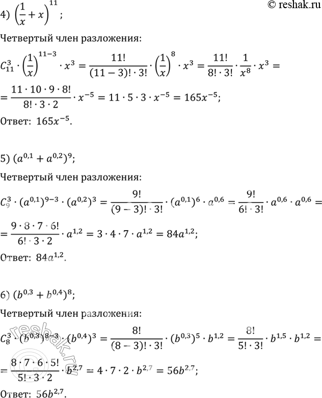
1094 Найти четвёртый член разложения бинома:
1) ((корень x) +x)12;
2) (x- (корень x))14;
3) (x - 1/x)13;
4) (1/x +x)11;
5) (a0,1 + a0,2)9;
6) (b0,3 + b0,4)8.
*размещая тексты в комментариях ниже, вы автоматически соглашаетесь с пользовательским соглашением