Упр.46.7 ГДЗ Мордкович 7 класс (Алгебра)
Решение #1

Рассмотрим вариант решения задания из учебника Мордкович, Александрова 7 класс, Мнемозина:
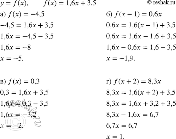
Дана функция у = f(x), где f(x) = 1,6x + 3,5. При каких значениях х выполняется равенство:
а) f(x) = -4,5;
б) f(x - 1) = 0,6x;
в) f(x) = 0,3;
г) f(x + 2) = 8,3x?
*размещая тексты в комментариях ниже, вы автоматически соглашаетесь с пользовательским соглашением