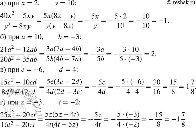
Упр.41.29 ГДЗ Мордкович 7 класс (Алгебра) Решение #1 Рассмотрим вариант решения задания из учебника Мордкович, Александрова 7 класс, Мнемозина: *Цитирирование задания со ссылкой на учебник производится исключительно в учебных целях для лучшего понимания разбора решения задания. 7 mordkovich7 41-29 « Предыдущее Следующее » *размещая тексты в комментариях ниже, вы автоматически соглашаетесь с пользовательским соглашением Похожие решебники Мордкович Мордкович, Семенов, Александрова Популярные решебники 7 класс Все решебники 2023 Коринская Коринская, Душина, Щенёв Разумовская (РосУчебник) Разумовская, Львова, Капинос Starlight Баранова, Дули, Копылова 2018 Коринская Коринская, Душина, Щенёв Латюшин (Рабочая тетрадь) Латюшин, Шапкин Еремин Еремин, Дроздов, Лунин