Упр.40.22 ГДЗ Мордкович 7 класс (Алгебра)
Решение #1

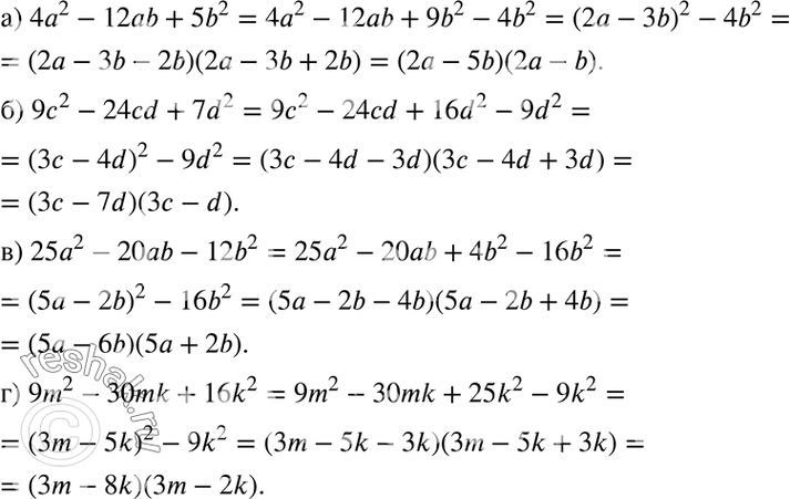
Рассмотрим вариант решения задания из учебника Мордкович, Александрова 7 класс, Мнемозина:
а) 4а2 - 12аb + 5b2;
б) 9с2 - 24cd + 7d2;
в) 25а2 - 20аb - 12b2;
г) 9m2 - 30mk + 16k2.
*размещая тексты в комментариях ниже, вы автоматически соглашаетесь с пользовательским соглашением