Упр.39.39 ГДЗ Мордкович 7 класс (Алгебра)
Решение #1

Рассмотрим вариант решения задания из учебника Мордкович, Александрова 7 класс, Мнемозина:
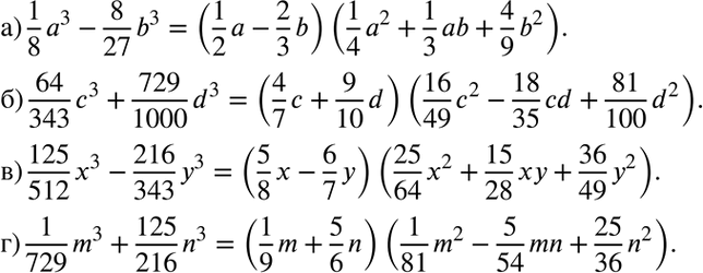
Разложите многочлен на множители:
а) 1a3/8 - 8b3/27;
б) 64c3/343+ 729d3/1000;
в) 125x3/512 - 216y3/343;
г) 1m3/729 + 125n3/216.
*размещая тексты в комментариях ниже, вы автоматически соглашаетесь с пользовательским соглашением