Упр.37.14 ГДЗ Мордкович 7 класс (Алгебра)
Решение #1

Рассмотрим вариант решения задания из учебника Мордкович, Александрова 7 класс, Мнемозина:
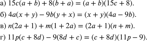
а) 15c(a+b)+8(b+a);
б) 4a(x+y)-9b(y+x);
в) n(2a+1)+m(1+2a);
г) 11p(c+8d)-9(8d+c).
*размещая тексты в комментариях ниже, вы автоматически соглашаетесь с пользовательским соглашением