Упр.33.56 ГДЗ Мордкович 7 класс (Алгебра)
Решение #1

Рассмотрим вариант решения задания из учебника Мордкович, Александрова 7 класс, Мнемозина:
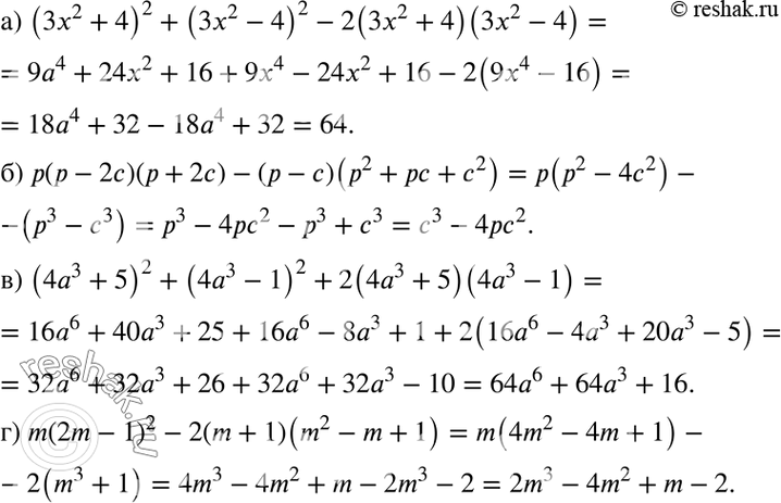
a) (3х2 + 4)2 + (3х2 - 4)2 - 2(3x2 + 4)(3x2 - 4);
б) p(p - 2c)(p + 2c) - (p - c)(p2 + pc + c2);
в) (4a3 + 5)2+ (4a3 - 1)2 + 2(4a3 + 5)(4a3 - 1);
r) m(2m - 1)2 - 2(m + 1 )(m2 - m + 1).
*размещая тексты в комментариях ниже, вы автоматически соглашаетесь с пользовательским соглашением