Упр.31.16 ГДЗ Мордкович 7 класс (Алгебра)
Решение #1

Рассмотрим вариант решения задания из учебника Мордкович, Александрова 7 класс, Мнемозина:
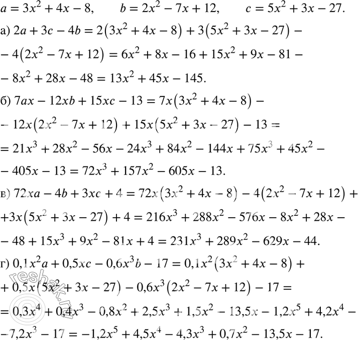
Пусть а = 3х2 + 4х - 8, Ь = 2х2 -7х+ 12, с = 5x2 + 3х - 27. По данному ниже условию составьте выражение и преобразуйте его в многочлен стандартного вида, записанный по степеням убывания переменной х:
а) 2а + Зс - 4b;
б) 7ах - 12xb + 15xс - 13;
в) 72xа -4b + 3xc + 4;
г) 0,1x2а + 0,5xс - 0,6х3b - 17.
*размещая тексты в комментариях ниже, вы автоматически соглашаетесь с пользовательским соглашением