Упр.27.9 ГДЗ Мордкович 7 класс (Алгебра)
Решение #1

Рассмотрим вариант решения задания из учебника Мордкович, Александрова 7 класс, Мнемозина:
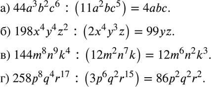
а) 44а3b2с6 : (11а2bс5);
б) 198х4у4z2 : (2х4у3z);
в) 144m8n9k4 : (12m2n7k);
г) 258p8q4ru : (3p8q2r15).
*размещая тексты в комментариях ниже, вы автоматически соглашаетесь с пользовательским соглашением