Упр.26.26 ГДЗ Мордкович 7 класс (Алгебра)
Решение #1

Рассмотрим вариант решения задания из учебника Мордкович, Александрова 7 класс, Мнемозина:
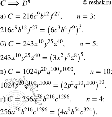
Представьте заданный одночлен С в виде Dn, где D — некоторый одночлен, если:
а) С = 216с9b12f27, n = 3;
б) С = 243x10y25z40, n = 5;
в) С = 1024р20q100r1000, n = 10;
г) С = 256a36b216c1296, n = 4.
*размещая тексты в комментариях ниже, вы автоматически соглашаетесь с пользовательским соглашением