Упр.26.18 ГДЗ Мордкович 7 класс (Алгебра)
Решение #1

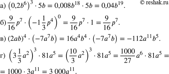
Рассмотрим вариант решения задания из учебника Мордкович, Александрова 7 класс, Мнемозина:
a) (0,2b6)3 * 5b;
6) 9p7/16 * (-1*1/3*p4)0;
в) (2ab)4 * (-7а7b);
г) (3*1/3*a2)3 * 81а5.
*размещая тексты в комментариях ниже, вы автоматически соглашаетесь с пользовательским соглашением