Упр.18.13 ГДЗ Мордкович 7 класс (Алгебра)
Решение #1

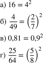
Рассмотрим вариант решения задания из учебника Мордкович, Александрова 7 класс, Мнемозина:
Представьте в виде квадрата некоторого числа данное число:
а) 16;
б) 4/49;
в) 0,81;
г) 25/64.
*размещая тексты в комментариях ниже, вы автоматически соглашаетесь с пользовательским соглашением