Упр.15.3 ГДЗ Мордкович 7 класс (Алгебра)
Решение #1

Рассмотрим вариант решения задания из учебника Мордкович, Александрова 7 класс, Мнемозина:
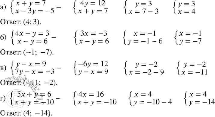
а) система
x+y=7,
x-3y=-5;
б) система
4x-y=3,
x-y=6;
в) система
y-x=9,
7y-x=-3;
г) система
5x+y=6,
x+y=-10.
*размещая тексты в комментариях ниже, вы автоматически соглашаетесь с пользовательским соглашением