Упр.14.5 ГДЗ Мордкович 7 класс (Алгебра)
Решение #1

Рассмотрим вариант решения задания из учебника Мордкович, Александрова 7 класс, Мнемозина:
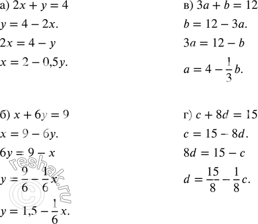
В заданном уравнении выразите одну переменную через другую:
а) 2x + у = 4;
б) x + 6у = 9;
в) 3а + b = 12;
г) с + 8d = 15.
*размещая тексты в комментариях ниже, вы автоматически соглашаетесь с пользовательским соглашением