Вводные упражнения 12 ГДЗ Колягин Ткачёва 8 класс (Алгебра)
Решение #1

Рассмотрим вариант решения задания из учебника Колягин, Ткачёва, Фёдорова 8 класс, Просвещение:
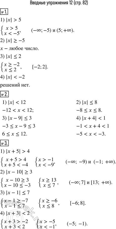
1. Решить неравенство:
1) |x|>5; 2) |x|?-5; 3) |x|?2; 4) |x|<-2.
2. Записать в виде двойного неравенства:
1) |x|<12; 2) |x|?8; 3) |x-9|?3; 4) |x+4|<1.
3. Решить неравенство:
1) |x+5|>4; 2) |x-10|?3; 3) |x-1|?7; 4) |x+3|<2.
4. Какие из дробей 2/5, 5/7, 3/15, 7/20, 9/30, 4/75, 1/125 не могут быть записаны в виде конечной десятичной дроби?
5. Записать в виде десятичной дроби: 11/50; 3/125; 24/25; 7/250.
6. Записать в виде десятичной периодической дроби: 2/3; 5/6; 3/7.
*размещая тексты в комментариях ниже, вы автоматически соглашаетесь с пользовательским соглашением