Это надо уметь Глава 2 ГДЗ Дорофеев Суворова 8 класс (Алгебра)
Решение #1

Рассмотрим вариант решения задания из учебника Дорофеев, Суворова, Бунимович 8 класс, Просвещение:
1. Вычислите: а) v81; б) v(9/16); в) v0,64.
2. Найдите значение выражения:
а) v((x-y)/2) при x=126,y=54; б) v(x+y)/5 при x=27,y=22;
в) (vx+vy)/3 при x=0,25,y=0,01.
3. Площадь квадрата, диагональ которого равна b, можно вычислить по формуле S=b^2/2. Выразите из этой формулы диагональ квадрата b.
4. Между какими последовательными целыми числами заключено число: v18, v89, v160?
5. Сравните числа: а) v26 и v62; б) v234 и 16; в) -v5 и-v6.
6. Покажите на координатной прямой примерное положение чисел v2,-v2,v52,-v52.
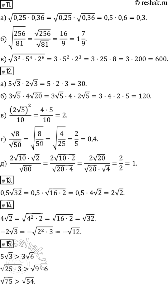
7. Пользуясь калькулятором, укажите две последовательные десятичные дроби с двумя знаками после запятой, между которомы заключено число v32.
8. Чему равно расстояние между домами A и B, расположенными на двух взаимно перпендикулярных улицах, если дом A расположен в 2 км от перекрестка, а дом B - в 1,5 км от этого перекрестка?
9. а) Найдите квадратные корни из числа: 64; 4/9; 0,49; 3; 2,7.
б) Найдите арифметический квадратный корень из числа: 100; 1/4; 0,09; 5.
10. Решите уравнение:
а) x^2=64; б) x^2-144=0; в) x^2+25=0;
г) x^2-5=0; д) (x-1)^2=9; е) (x+5)^2=0.
11. Вычислите, не пользуясь калькулятором:
а) v(0,25•0,36); б) v(256/81); в) v(3^2•5^4•2^6 ).
12. Упростите выражение:
а) 5v3•2v3; б) 3v5•4v20; в) (2v5)^2/10;
г) v8/v50; д) (2v10•v2 )/v80.
13. Вынесите множитель из-под знака корня в выражении 0,5v32.
14. Внесите множитель под знак корня в выражении: 4v2,-2v3.
15. Сравните числа 5v3 и 3v6.
16. Упростите выражение:
а) 3v20-3v45+4v5; б) (1+v3)^2; в) (v7-2)(v7+2).
17. Освободитесь от иррациональности в знаменателе дроби 6/v3.
18. Найдите значение выражения 2y^2-3 при y=1-v2.
19. Найдите значение выражения 2y^3 при y=2v3.
*размещая тексты в комментариях ниже, вы автоматически соглашаетесь с пользовательским соглашением