Упр.96 ГДЗ Мерзляк 8 класс (Алгебра)
Решение #1
Решение #2
Решение #3

Рассмотрим вариант решения задания из учебника Мерзляк, Полонская, Якир 8 класс, Вентана-Граф:
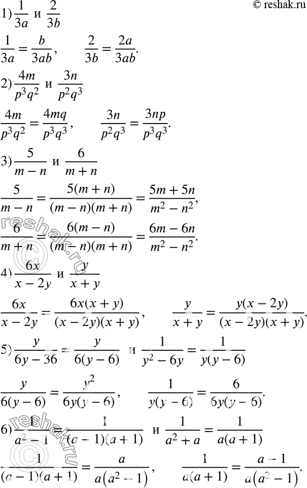
96. Приведите к общему знаменателю дроби:
1) 1/3a и 2/3b;
2) 4m/p3q2 и 3n/p2q3;
*размещая тексты в комментариях ниже, вы автоматически соглашаетесь с пользовательским соглашением