Упр.885 ГДЗ Мерзляк 8 класс (Алгебра)
Решение #1
Решение #2
Решение #3

Рассмотрим вариант решения задания из учебника Мерзляк, Полонская, Якир 8 класс, Вентана-Граф:
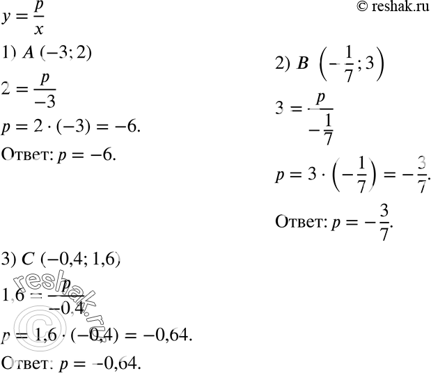
885. Найдите значение р, если известно, что график функции у = p/x проходит через точку:
1) А (-3; 2);
2) В (-1/7; 3); С (-0,4; 1,6).
*размещая тексты в комментариях ниже, вы автоматически соглашаетесь с пользовательским соглашением