Упр.861 ГДЗ Мерзляк 8 класс (Алгебра)
Решение #1
Решение #2
Решение #3

Рассмотрим вариант решения задания из учебника Мерзляк, Полонская, Якир 8 класс, Вентана-Граф:
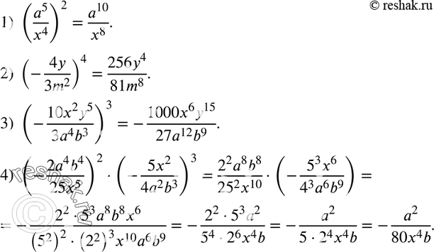
861. Представьте выражение в виде дроби:
1) (a5/x4)2;
2) (-4y/3m2)4;
3) (-10x2y5/3a4b3)3;
4) (-2a4b4/25x5) * (-5x2/4a2b3)3.
*размещая тексты в комментариях ниже, вы автоматически соглашаетесь с пользовательским соглашением