Упр.831 ГДЗ Макарычев Миндюк 9 класс (Углубленный) (Алгебра)
Решение #1

Рассмотрим вариант решения задания из учебника Макарычев, Миндюк, Нешков 9 класс, Просвещение:
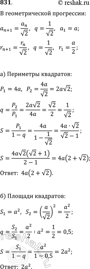
831. В квадрат, со стороной равной а, вписан круг, в этот круг вписан квадрат, в полученный квадрат снова вписан круг и т. д. Найдите сумму: а) периметров квадратов; б) площадей квадратов; в) длин окружностей; г) площадей кругов.
*размещая тексты в комментариях ниже, вы автоматически соглашаетесь с пользовательским соглашением