Упр.813 ГДЗ Макарычев Миндюк 9 класс (Углубленный) (Алгебра)
Решение #1

Рассмотрим вариант решения задания из учебника Макарычев, Миндюк, Нешков 9 класс, Просвещение:
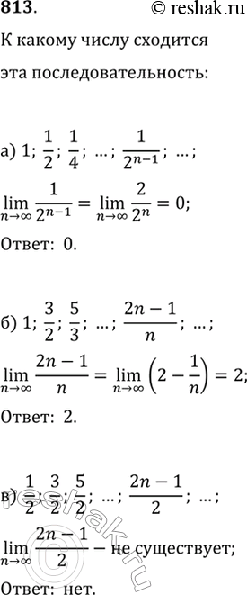
813. Имеет ли предел последовательность и если имеет, то чему он равен:
а) 1, 1/2, 1/4, ..., 1/2^(n-1), ...; г) -1, 1, -1, 1, ..., (-1)^n, ...;
б) 1, 3/2, 5/3, ..., (2n-1)/n, ...; д) -1/2, 2/3, -3/4, ..., (-1)^n n/(n+1), ...;
в) 1/3, 3/2, 5/2, ..., (2n-1)/2, ...; е) 1, 1/(1·2), 1/(1·2·3), ..., 1//(1·2·3·...·n), ...?
*размещая тексты в комментариях ниже, вы автоматически соглашаетесь с пользовательским соглашением