Упр.809 ГДЗ Колягин Ткачёва 8 класс (Алгебра)
Решение #1

Рассмотрим вариант решения задания из учебника Колягин, Ткачёва, Фёдорова 8 класс, Просвещение:
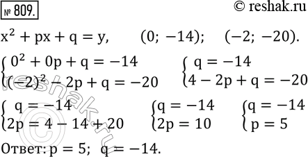
809. Найти коэффициенты p и q квадратного трехчлена x^2 +px+q, если этот трехчлен при x=0 принимает значение, равное -14, а при x=-2 принимает значение -20.
*размещая тексты в комментариях ниже, вы автоматически соглашаетесь с пользовательским соглашением