Упр.786 ГДЗ Мерзляк 8 класс (Алгебра)
Решение #1
Решение #2
Решение #3

Рассмотрим вариант решения задания из учебника Мерзляк, Полонская, Якир 8 класс, Вентана-Граф:
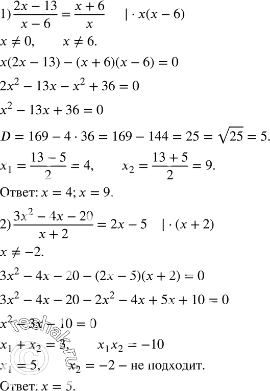
786. Найдите корни уравнения:
1) (2x-13)/(x-6) = (x+6)/x;
2) (3x2-4x-20)/(x+2) = 2x-5.
*размещая тексты в комментариях ниже, вы автоматически соглашаетесь с пользовательским соглашением