Упр.778 ГДЗ Колягин Ткачёва 9 класс (Алгебра)
Решение #1

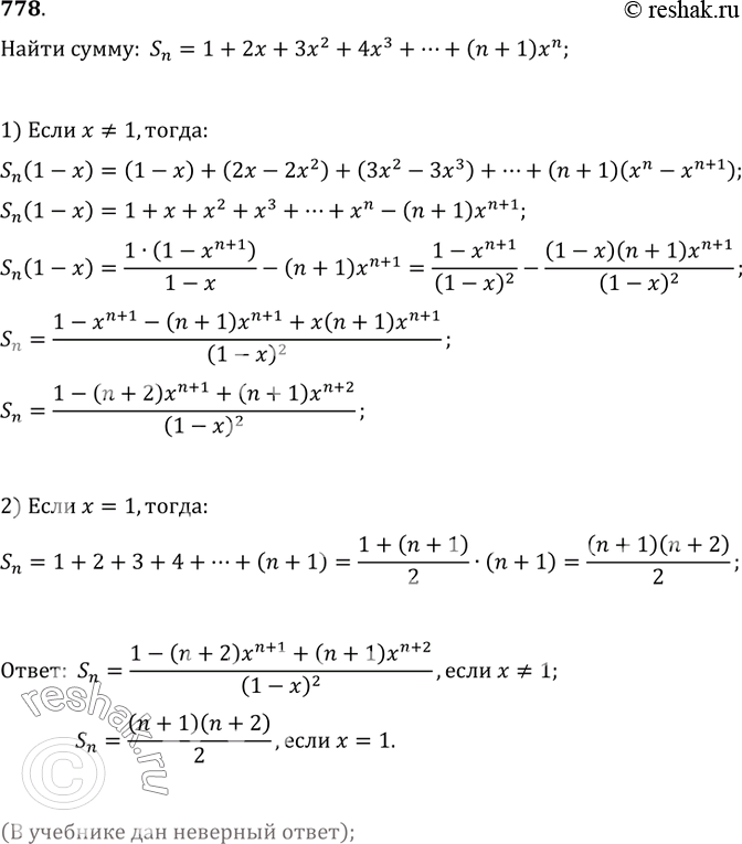
Рассмотрим вариант решения задания из учебника Колягин, Ткачёва, Фёдорова 9 класс, Просвещение:
778. Найти сумму S_n=1+2x+3x^2+4x^3+...+(n+1)x^n.
*размещая тексты в комментариях ниже, вы автоматически соглашаетесь с пользовательским соглашением