Упр.774 ГДЗ Никольский Потапов 9 класс (Алгебра)

Решение #1

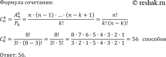
Изображение 774. Из восьми фильмов жюри конкурса может отобрать трёх финалистов. Сколькими способами это можно...

Решение #2

Изображение 774. Из восьми фильмов жюри конкурса может отобрать трёх финалистов. Сколькими способами это можно...

Рассмотрим вариант решения задания из учебника Никольский, Потапов 9 класс, Просвещение:
774. Из восьми фильмов жюри конкурса может отобрать трёх финалистов. Сколькими способами это можно сделать?
*Цитирирование задания со ссылкой на учебник производится исключительно в учебных целях для лучшего понимания разбора решения задания.
*размещая тексты в комментариях ниже, вы автоматически соглашаетесь с пользовательским соглашением