Упр.766 ГДЗ Никольский Потапов 6 класс (Математика)
Решение #1

Рассмотрим вариант решения задания из учебника Никольский, Потапов, Решетников 6 класс, Просвещение:
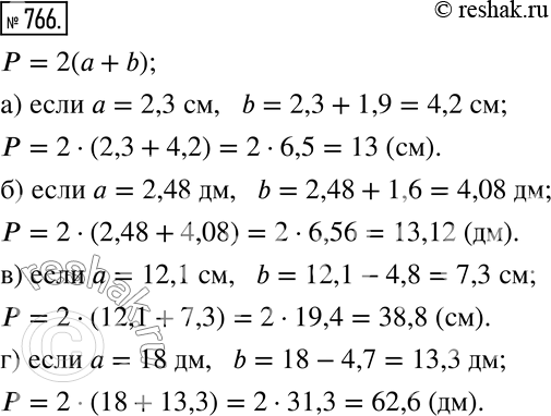
766. Вычислите периметр прямоугольника, если:
а) его ширина равна 2,3 см, а длина на 1,9 см больше;
б) его ширина равна 2,48 дм, а длина на 1,6 дм больше;
в) его длина равна 12,1 см, а ширина на 4,8 см меньше;
г) его длина равна 18 дм, а ширина на 4,7 дм меньше.
*размещая тексты в комментариях ниже, вы автоматически соглашаетесь с пользовательским соглашением