Упр.766 ГДЗ Мерзляк 8 класс (Алгебра)
Решение #1
Решение #2
Решение #3

Рассмотрим вариант решения задания из учебника Мерзляк, Полонская, Якир 8 класс, Вентана-Граф:
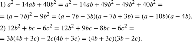
766. Разложите на множители многочлен:
1) а2 - 14ab + 40b2;
2) 12b2 + bc - 6c2.
*размещая тексты в комментариях ниже, вы автоматически соглашаетесь с пользовательским соглашением