Упр.73 ГДЗ Мерзляк 8 класс (Алгебра)
Решение #1
Решение #2
Решение #3

Рассмотрим вариант решения задания из учебника Мерзляк, Полонская, Якир 8 класс, Вентана-Граф:
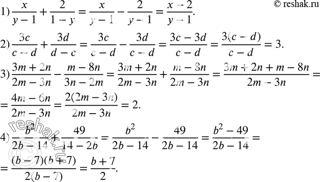
73. Упростите выражение:
1) x/(y-1) + 2/(1-y);
2) 3c/(c-d) + 3d/(d-c);
3) (3m+2n)/(2m-3n) - (m-8n)/(3n-2m);
4) b2/(2b-14) + 49/(14-2b).
*размещая тексты в комментариях ниже, вы автоматически соглашаетесь с пользовательским соглашением