Упр.723 ГДЗ Мерзляк 8 класс (Алгебра)
Решение #1
Решение #2
Решение #3

Рассмотрим вариант решения задания из учебника Мерзляк, Полонская, Якир 8 класс, Вентана-Граф:
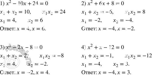
723. Применяя теорему, обратную теореме Виета, решите уравнение:
1) x2 - 10x + 24 = 0;
2) x2 + 6x + 8 = 0;
3) x2 - 2x - 8 = 0;
4) х2 + х - 12 = 0.
*размещая тексты в комментариях ниже, вы автоматически соглашаетесь с пользовательским соглашением