Упр.698 ГДЗ Мерзляк 8 класс (Алгебра)
Решение #1
Решение #2
Решение #3

Рассмотрим вариант решения задания из учебника Мерзляк, Полонская, Якир 8 класс, Вентана-Граф:
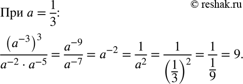
698. Найдите значение выражения (a^-3)^3 / (a^-2*a^-5) при а = 1/3.
*размещая тексты в комментариях ниже, вы автоматически соглашаетесь с пользовательским соглашением