Упр.659 ГДЗ Мерзляк 8 класс (Алгебра)
Решение #1
Решение #2
Решение #3

Рассмотрим вариант решения задания из учебника Мерзляк, Полонская, Якир 8 класс, Вентана-Граф:
659. Решите уравнение:
1) x2 - 4x + 3 = 0;
2) х2 + 2x - 3 = 0;
3) x2 + Зx - 4 = 0;
4) х2 - 4х - 21 = 0;
5) x2 + x - 56 = 0;
6) x2 - 6x - 7 = 0;
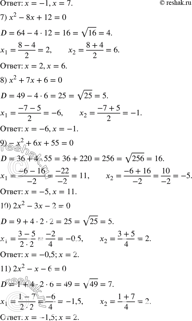
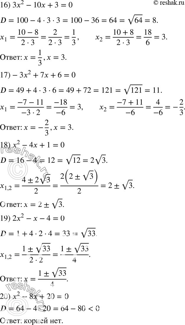
7) x2 - 8x + 12 = 0;
*размещая тексты в комментариях ниже, вы автоматически соглашаетесь с пользовательским соглашением