Упр.653 ГДЗ Бунимович Кузнецова 6 класс (Математика)

Решение #1

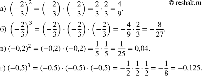
Изображение Упр.653 ГДЗ Бунимович Кузнецова 6 класс

Рассмотрим вариант решения задания из учебника Бунимович, Кузнецова, Минаева 6 класс, Просвещение:
653 Найдите значение степени: а) (-2/3)2; б) (-2/3)3; в) (-0,2)2; г) (-0,5)3.
*Цитирирование задания со ссылкой на учебник производится исключительно в учебных целях для лучшего понимания разбора решения задания.
*размещая тексты в комментариях ниже, вы автоматически соглашаетесь с пользовательским соглашением