Упр.636 ГДЗ Мерзляк 8 класс (Алгебра)
Решение #1
Решение #2
Решение #3

Рассмотрим вариант решения задания из учебника Мерзляк, Полонская, Якир 8 класс, Вентана-Граф:
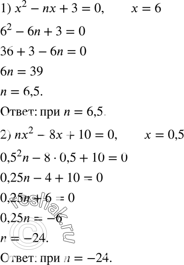
636. При каком значении n:
1) число 6 является корнем уравнения х2 - nх + 3 = 0;
2) число 0,5 является корнем уравнения nх2 - 8x + 10 = 0?
*размещая тексты в комментариях ниже, вы автоматически соглашаетесь с пользовательским соглашением